近日,华东师范大学袁翔课题组成功自主研发了一套高信噪比、高通量强磁场红外光谱装置,并对其整体架构、关键技术改进及综合性能开展了系统性验证。该工作突破了传统强磁红外光谱系统在光通量、信噪比、测量效率方面的限制,通过实现成像式光路,将磁光信噪比提高了超过两个数量级,使得由磁场诱导的10-4量级的微弱光谱变化的稳定解析成为可能,为高磁场条件下开展精密光谱研究提供了全新的平台支撑。该装置兼容常用的7-30 T磁体,实验波长覆盖0.5-200 μm,分辨率为0.2cm-1。兼容全部四种磁光透反射构型(Faraday/Voigt+透射/反射),温度覆盖1.7-300 K。
相关成果以“A High-Flux and High-Efficiency Setup for Magneto-Infrared Spectroscopy”为题在线发表于仪器类国际顶级期刊Review of Scientific Instruments。 红外光谱是探索材料电子结构与低能激发的重要研究手段,而在强磁场条件下,磁红外光谱能够直接揭示电子回旋共振、朗道量子化及拓扑能带演化等关键物理过程,在磁性材料和拓扑量子材料研究中具有独特优势。然而,受限于高磁场实验空间狭窄、光通量损失严重及测量效率偏低等因素,传统强磁场红外光谱装置在弱信号探测方面长期面临挑战。针对这一关键瓶颈,研究团队自主研发并搭建了一套高光通量、高效率的强磁场红外光谱装置,通过对光路、聚焦与探测系统的系统性优化,实现了整体性能的显著提升:使得10-4量级微弱磁场诱导光谱信号的稳定解析成为可能。该装置具备开展高磁场、多波段、高精度、多构型的磁红外光谱研究的综合能力,为高磁场条件下的精密光谱研究提供了先进而可靠的实验平台,主要提升的性能:
1.高兼容性:兼容常用的7-30 T磁体,全部四种磁光透反射构型(Faraday/Voigt+透射/反射),1.7-300 K变温测量,光学波长覆盖0.5-200 μm。
2.高测量效率:在单次降温实验中支持至少8个样品的切换测量;基于自主编写的测量程序,装置实现光源、分束器、探测器、样品的自动切换。
3.高通量、高信噪比:使用成像式光路,对比传统磁光装置显著提高了光通量,从而将信噪比提高两个数量级以上(信噪比达16000),实现10-4量级微弱磁场诱导光谱信号的稳定解析。

图1 强磁场红外光谱装置设计示意图
研究团队所搭建的强磁场红外光谱装置结构示意图如图1所示,该装置系统由五个子模块构成,包括傅里叶变换红外光谱仪(FTIR)、无液氦超导磁体、内部抛光镀金的光波导、适用于不同磁光构型测量实验的聚焦组件,以及具备多探测器自动切换的外置探测腔体。经调制的红外光束从FTIR输出后引导至磁体顶部光学窗,通过入射光波导传输至超导磁体中心。光束经聚焦组件照射在样品,透射/反射后被组件收集。该信号光经出射光波导送出磁体后被引导入外置真空探测腔。真空腔内放置有Bolometer/MCT/InSb/Si diode等覆盖各波段的红外探测器。为有效降低空气吸收带来的干扰,系统外部光路维持在低压环境中,样品区域则由变温插杆(VTI)配合氦交换气进行温度控制。整体光路在结构上高度集成,并实现了多参数的自动化控制。

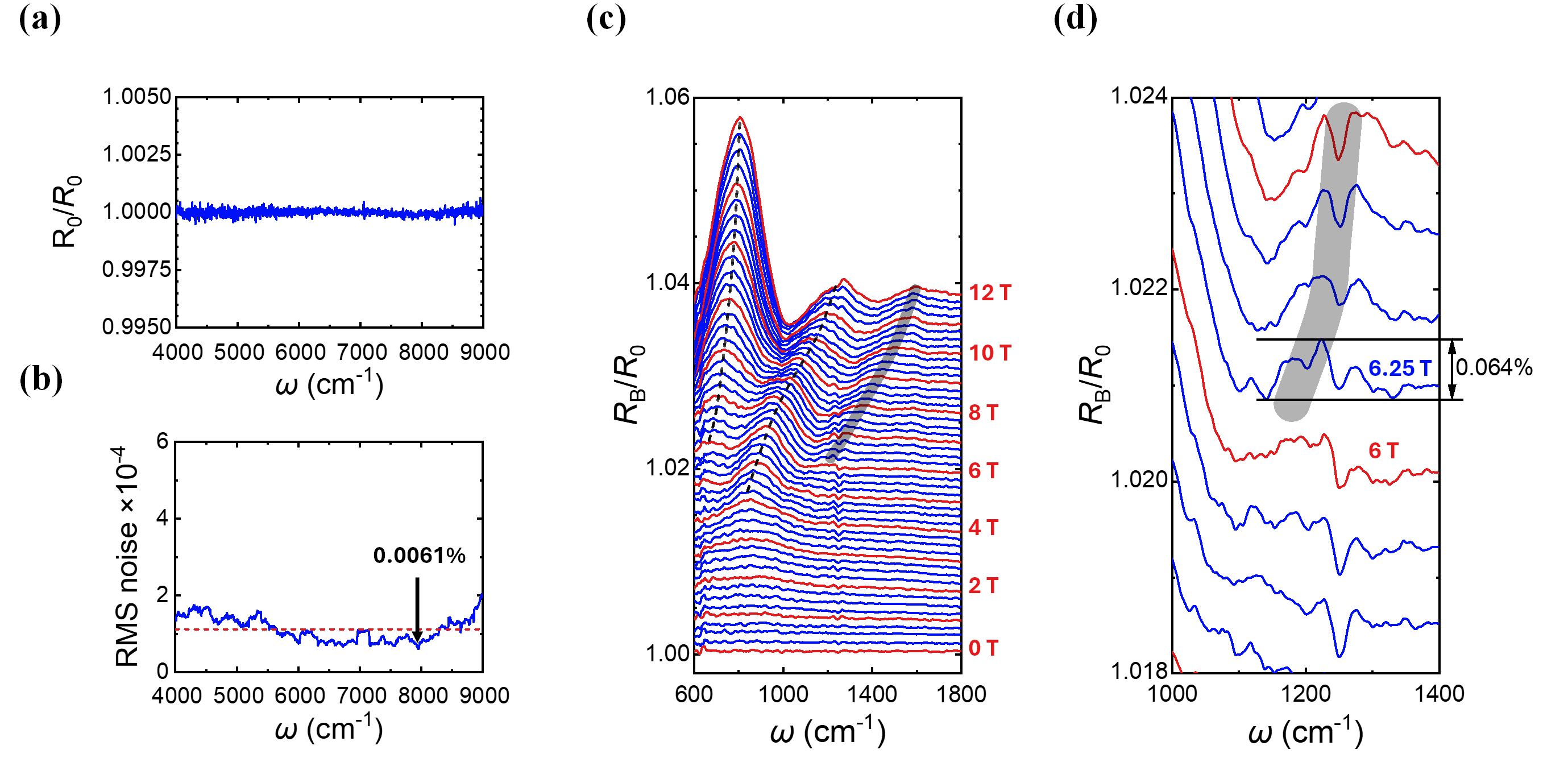
图2 装置的信噪比水平、微弱信号分辨能力测试
研究团队对装置的信噪比和微弱信号分辨能力进行了系统测试。通过对同一样品在完全相同实验条件下连续获取的两组红外光谱进行比值分析,研究人员定量评估了装置在短积分时间内的噪声水平。测试结果表明,在1分钟的积分时间下,该装置可实现最低约0.0061%的均方根噪声水平,显著优于传统磁红外实验装置1%量级的噪声水平。研究团队还对拓扑半金属LaAlSi的(110)晶面进行了磁红外光谱测量,成功观测到极微弱的Landau能级跃迁特征,清晰分辨出0.064%的强度幅值的光谱特征信号。相关数据充分展示了装置优异的信噪比和稳定性,体现了装置对微弱磁场诱导光谱信号的高灵敏探测能力,优异的性能水平为高精度的磁红外研究奠定了坚实基础。
该研究成果近期发表在Rev. Sci. Instrum. 96, 113902 (2025),华东师范大学袁翔教授为论文通讯作者,博士后施泽平、吴闻彬,博士研究生杜宇涵、硕士研究生张智炜为本文的共同第一作者。研究工作获科技部、教育部、国家自然科学基金、上海市科委、上海市教委等支持。
论文详见:https://doi.org/10.1063/5.0296925